lunes, 12 de agosto de 2013

MAPA DE IDEAS


                                       



MAPA DE IDEAS.

Los mapas de ideas son una descripción gráfica y un diseño visual de ideas, pensamientos y palabras relacionados con una palabra clave central, lo que proporciona una base para la resolución creativa de problemas y las lluvias de ideas de la que se pueden aprovechar tanto individuos como grupos. La libertad y creatividad que permiten respecto a otros métodos para diseccionar pensamientos o ideas permite resolver los problemas con más rapidez e incentiva el desarrollo de pensamientos creativos. La combinación de palabras con elementos visuales como líneas, colores y símbolos en un entorno gráfico ayuda a estimular el pensamiento creativo y la capacidad de memorización de la parte derecha del cerebro.


Cómo se crea un mapa de ideas

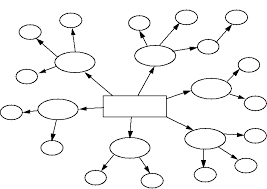
La creación de mapas de ideas de muy fácil. El punto principal que hay que recordar es empezar por el centro con una palabra clave o una idea. Utilice un papel, una pizarra u otro elemento físico lo suficientemente grande en el que se puede dibujar el mapa. A continuación se añaden los elementos alrededor del punto central y partiendo de él de forma radial. Los conceptos principales se añaden en negrita, en color o con mayúsculas, y se pueden organizar según su importancia. Cada idea secundaria alrededor de la central incluirá bifurcaciones para los elementos adicionales. Use colores distintos, al menos tres, para mejorar el mapa y aportar más fuerza al activar más funciones de la parte creativa derecha del cerebro. También es posible añadir símbolos y otros elementos gráficos. Las ideas de la misma importancia deben tener líneas de la misma longitud como conectores. Todas las vías deben llevar a la palabra clave central.
La colocación de las ideas en círculo alrededor de la palabra clave central estimula el pensamiento creativo, al derribar la barrera psicológica de considerar unas más importantes que otras. Cuando se hayan colocado todos los pensamientos, se deben crear conexiones entre las palabras en minúscula exteriores y las palabras en mayúscula interiores. Se forma así un patrón de pensamientos circular en forma de ramas similar a un mapa de carreteras con una gran ciudad en el centro. Las diferencias con los procesos de pensamientos jerárquicos y restrictivos que se producen al crear los típicos gráficos de flujo con estructura lineal u organigramas son evidentes. En los mapas de ideas, el orden no es importante. El trabajo puede empezar a partir de cualquier punto. Lo importante es la palabra clave central, no un grupo de ideas, como ocurre en los mapas conceptuales.

USO DEL MAPA DE IDEAS


Los mapas de ideas tienen muchas aplicaciones prácticas en la vida diaria y en los negocios. Puede usarlos en cualquier situación en la que se necesiten resolver problemas o realizar una lluvia de ideas. Es divertido hacerlos y pueden enseñarse a los miembros más jóvenes de la familia como un método creativo para resolver problemas o para organizar pensamientos. Los mapas de ideas son muy útiles como punto de partida para planificar objetivos vitales. Los estudiantes pueden usar los suyos propios para tomar notas en la escuela o para memorizar conceptos o problemas difíciles. Es algo similar a crear un diagrama de la estructura de una oración, pero en lugar de una oración, se toma una idea general, un problema, un concepto o una palabra clave.


                                  

ELABORA UN MAPA MENTAL UTILIZANDO EL SIGUIENTE ESQUEMA.